what if 15.7 ml of titrant were required to reach the endpoint?

Lab 9 - Titrations

Purpose

To determine the concentration of acetic acid in vinegar.

Goals

  • 1

    To perform an acid-base of operations titration.
  • ii

    To gain experience titrating carefully to a visible endpoint.
  • iii

    To proceeds experience monitoring a titration with a pH electrode and determining the equivalence point.
  • 4

    To summate the amount of analyte present from the issue of a titration.

Introduction

Many laboratories clarify consumer products to make up one's mind accuracy in the labeling of the product. The very common and simple technique of titration is demonstrated in this experiment. A titration is an analytical procedure in which a reaction is run nether carefully controlled weather. The stoichiometric volume of i reactant of known concentration, the titrant, that is required to react with another reactant of unknown concentration, the analyte, is measured. The concentration of the analyte is determined from the concentration and book of titrant and the stoichiometry of the reaction between them. The experimental setup is shown in Figure i. A buret, which contains the titrant, is calibrated so the volume of solution that it delivers can be determined with high accurateness and precision. Titrant is added to the analyte until the stoichiometric volume of titrant has been added. This is called the equivalence point, at which the volume of titrant delivered by the buret is read. Ordinarily, the book readings are estimated to the nearest 0.01 mL. The delivery of the titrant is adjusted with the stopcock on the buret. With practice, one tin dispense fractions of a drib of titrant and command the process well enough that replicated titrations agree within 0.10 mL. For this first lab, you volition demand your titrations to concur to within 0.50 mL.

Figure 1

Effigy 1 : Titration Setup

The equivalence point tin can be determined past two methods. The pH can be monitored during the titration with a pH electrode and the equivalence point identified as the point of most rapid pH change. The equivalence signal can besides be determined visually with an indicator. The indicator, which is a substance that changes color near the equivalence point, is added to the analyte solution. Since the color alter is most just non exactly at the equivalence indicate, the bespeak at which the color alter occurs is called the endpoint. Indicators are chosen so the endpoint is very close to the equivalence point. It is important to continue a titration well mixed, so the titrant and analyte can contact each other and react rapidly. Either manual swirling of the chalice or mechanical stirring tin can be used. Yous will employ mechanical stirring in this experiment. The most common type of titration is the acid-base titration. In this experiment, you will determine the concentration of acetic acid, HC2H3O2 in commercial vinegar. Vinegar is a mixture of acetic acid and water. In this titration, aqueous NaOH is the titrant, and vinegar is the analyte. Nosotros presume that the strong base and the weak acid react completely according to the net equation:

( 1 )

HC2H3Oii(aq) + OH(aq) → CiiH3O2 (aq) + HtwoO(l)

The counterbalanced equation shows one:1 stoichiometry, so nosotros tin can write:

( 2 )

moles HC2H3O2 reacting = moles OH added

Or more generally:

( 3 )

moles of acid reacting = moles of base reacting

Moles of base can be calculated from concentration of base multiplied by the volume of base of operations used (molesbase = Mbase × Vbase). As a reminder on concentration units: molarity is defined as the number of moles of solute in a liter of solution (M = mol/L). This is numerically equal to the number of millimoles of solute in a milliliter of solution (K = mmol/mL). It is oftentimes convenient to use this 2d definition of molarity in titrations and other work where small quantities are involved. There are thousand mmol in 1 mol and 1000 mL in 1 liter. For example, 10.2 mL of 0.100 M NaOH solution contains ane.02 mmol of NaOH.

( 4 )

10.two mL solution ×

0.100 mmol NaOH
1 mL solution
= 1.02 mmol NaOH

The molarity of the acetic acid in vinegar can be calculated from moles of acetic acrid divided past book of analyte

(Macid = molesacid / Fiveanalyte)

. Using the values higher up, if titration requires 1.02 mmol of NaOH to reach the endpoint, the sample must also contain 1.02 mmol of acetic acrid. If the volume of the vinegar used is viii.05 mL, the molarity of acerb acid is 1.02 mmol / 8.05 mL = 0.127 M.
In this experiment, a carefully measured volume of vinegar (Vanalyte) is placed into a beaker and the mass determined. The sample of vinegar is and then titrated with a NaOH solution of known concentration (Mbase of operations), and the book of NaOH solution required to reach the endpoint (Vbase) is determined. Vbase, Kbase, and Vanalyte are all known, and so the concentration of the acid (Yardacid) can be adamant equally described above. In addition, the mass of acetic acrid in the sample tin be determined from the number of moles present and the molar mass of acetic acrid (gacid = MWacid 10 molesacid). Finally, the mass percent of acetic acid in the vinegar tin can exist determined from the mass of the acerb acrid in the sample and mass of the vinegar (analayte) solution that was titrated.

( 5 )

Mass % =

mass of acetic acrid in sample
mass of vinegar solution titrated
× 100

In the titration of acetic acrid with aqueous NaOH, phenolphthalein is used as the indicator. Phenolphthalein is nearly colorless in acidic solution, but turns pink at a pH of about 8. This indicates that the base has neutralized all the acid. As you titrate the vinegar, you volition observe that the pink color is more persistent as you add more base. This is a signal to slow the add-on of base, and control information technology advisedly. The endpoint has been reached when a faint pink color persists for at least 30 seconds. It is easy to overshoot the endpoint. If this happens, yous volition take a dark imperial-pink solution, and you lot volition accept to repeat the titration, so exist conscientious. Annotation the volume you accept used; stop short of this volume in subsequent titrations, and add the last milliliter or so dropwise. Your instructor will show y'all how to control the stopcock of the buret to facilitate this. Annotation that the volume measurements in titrations are ordinarily reported to 4 significant figures, so the concentrations are usually reported to four significant figures likewise. Sentry this in your work; when yous calculate molar masses, make sure you have four pregnant figures.

Equipment

  • i

    MicroLab Interface
  • i

    MicroLab pH Measurement Pedagogy Sheet
  • one

    pH electrode in pH 7.00 buffer
  • ane

    10.0 mL graduated cylinder
  • 1

    30 mL chalice
  • one

    100 mL chalice
  • 2

    250 mL beakers
  • i

    25 mL buret
  • 1

    ring stand
  • ane

    clench
  • i

    buret clench
  • i

    magnetic stir plate
  • ane

    magnetic stir bar
  • 1

    deionized water squirt bottle
  • 1

    box of Kimwipes

Reagents

  • ~l mL 0.5 M sodium hydroxide (NaOH)
  • commercial vinegar (HCiiH3O2)
  • pH 4.00 buffer
  • pH 7.00 buffer
  • pH 10.00 buffer
  • phenolphthalein solution
  • deionized water

Safety

NaOH is corrosive. It can attack the skin and crusade permanent impairment to the optics. If NaOH solution splashes into your eyes, employ the eyewash immediately. Agree your optics open and flush with water. If contact with peel or vesture occurs, affluent the affected surface area with water. Take your lab partner notify your instructor about the spill.

Waste Disposal

All solutions tin can be flushed downwards the sink with plenty of water.

Prior to Form

Please read the following sections of the Introductory Textile:

  • Analytical Balance
  • Volumetric Glassware
  • Measurements
Delight review the following videos:
  • Cleaning, conditioning and filling a buret
  • Performing a titration
  • Cleaning and storing a buret
Please complete your WebAssign prelab consignment. Check your WebAssign Account for due dates. Students who do non complete the WebAssign prelab assignment are required to bring and hand in the prelab worksheet.

PDF file

Lab Procedure

Please print the worksheet for this lab. You volition need this sheet to record your information.

PDF file

In this experiment, you will be using pH electrodes connected to the MicroLab Interface. pH electrodes have a thin glass seedling at the tip. They interruption easily and are plush to supersede. Exist careful non to shove the electrode into the bottom of a chalice or drop the electrode. There is a protective guard around the tip, which should remain in identify at all times. The guard volition not protect against devil-may-care treatment. Delight utilise farthermost care when using this equipment. Best results in using the electrodes are obtained if:

  • Electrodes are kept in standard pH vii buffer solution when not in use.
  • Immediately prior to use, the electrodes are rinsed with deionized water and gently blotted with a tissue, then placed in the test solution.
  • The electrodes are rinsed and blotted again after the measurement and returned to the pH 7 buffer solution.

Part A: Calibrating the MicroLab pH Electrode

  • i

    Open up the MicroLab program.
  • ii

    Make sure the pH electrode is plugged into the interface.
  • 3

    Calibrate the pH electrode using the MicroLab instructions provided in the lab.
  • 4

    Configure the MicroLab program using the education sheet provided.
  • 5

    Later on the calibration and configuration are complete, measure out the pH of each of the 3 buffer solutions of pH = 4.00 (cerise), pH = 7.00 (yellow), and pH = x.00 (blue). Record the value in the digital brandish into WebAssign as a tape of how accurately the probe is calibrated. Make sure the electrode is immersed in the solution and let for a few seconds equilibration.

Office B: Titration of Vinegar Monitored by pH Probe and Indicator

  • ane

    Obtain a clean, dry 10.0 mL graduated cylinder.
  • 2

    Using a make clean, dry thirty mL beaker, obtain about 25 mL of vinegar.
  • 3

    Condition the graduated cylinder with vinegar solution before using it. This is done past adding a petty vinegar solution to the graduated cylinder, swirl and then that all of the sides are coated with vinegar and then discarding the remaining vinegar. Echo this procedure 1–two more than times to ensure that the graduated cylinder is conditioned.
  • 4

    Measure the mass of an empty 250 mL beaker and record this value in Data Table A1. Using the 10.0 mL graduated cylinder, transfer vii.0 mL of vinegar into the beaker. Weigh the chalice and vinegar together and record the mass in Data Tabular array A1. Tape the volume of vinegar in Data Table A1 as well.
  • 5

    Add ~40 mL of deionized water (exercise not use the graduated cylinder for this now that it is conditioned for vinegar!) and iii drops of phenolphthalein solution to the beaker containing the vinegar.
  • vi

    Obtain virtually 50 mL of ~0.five K NaOH solution in a clean, dry out 100 mL chalice. Record the verbal concentration from the canteen of NaOH in Data Table A1.
  • 7

    Status the 25.0 mL buret with NaOH solution as directed past your teacher, and according to the description in "Volumetric Glassware" in Lab Equipment.
  • 8

    Fill the buret with NaOH and advisedly clamp information technology to the band stand. Make sure to fill up the tip with NaOH solution by draining some solution from the tip into a waste chalice. For this experiment, the titration volumes volition exist easier to enter into the MicroLab software if the starting volume of NaOH is EXACTLY 0.00 mL.
  • ix

    Carefully slide the stir bar into the 250 mL chalice containing the vinegar solution while tilted to avoid splashing or damage to the beaker. Position the stir plate under the 250 mL beaker and begin stirring slowly.
  • 10

    Carefully position the pH electrode in the 250 mL breaker until nigh ane/ii inch of the tip is in the solution. Clamp to the ring stand with the clench provided. Be sure that the stir bar will not strike the pH electrode. If necessary, add more than h2o. See Figure 2 for the complete setup.

Figure 2

Figure two : Experimental Setup

  • eleven

    Position the buret and then that the tip of the buret is just inside the beaker. Refer to Effigy 2.
  • 12

    Have an initial pH reading by inbound the initial buret reading in the MicroLab software window and hitting return. You should as well record all of your data in Data Tabular array B simply in instance something goes wrong with the computer. Remember to read the buret to the nearest 0.01 mL . Reading a buret to this accuracy is catchy; the last meaning effigy is expected to exist an guess.

Figure 3

Figure 3 : Data Tabular array B: Volume of Titrant Added to Vinegar vs pH

  • 13

    Open the stopcock of the buret and add ~2.0 mL of titrant (NaOH) to the contents of the beaker (HC2HthreeO2 + h2o + indicator). Stir about 10 seconds. So read the exact volume on the buret, enter this value into the MicroLab software and accept a pH reading. Remember to tape your measurements in Data Table B.
  • fourteen

    Proceed to add together titrant in ~2.0 mL increments and record the buret volume and pH in Data Table B. Finish at ~viii.0 mL of titrant volume.
  • fifteen

    After ~eight.0 mL of titrant has been added, the increment of titrant improver should be decreased as the endpoint is closer. Add together titrant in ~1.0 mL amounts until a total of ~11 mL of titrant has been added. Then reduce the amount of titrant addition to ~0.5 mL increments or less. At this point, the pH should modify more than than 0.3 pH units per add-on, signaling the titration endpoint. You will also run across a faint pinkish color appear and apace fade. When the colour begins to disappear more slowly, tedious the addition of titrant to a dropwise rate. Rinse the walls of the chalice and the tip of the buret with deionized water from a wash bottle as you lot approach the endpoint. This ensures that all of the NaOH delivered from the buret ends up in the reaction mixture. The endpoint has been reached when the faint pink color lasts for at least xxx seconds. Tape the equivalence betoken reading on the buret to the nearest 0.01 mL in Data Table A1.
  • 16

    To finish generating the titration curve, render to 1 mL increments of titrant as the changes in pH decrease below 0.iii pH units across the equivalence point. Do not finish the titration until yous have added approximately 5 mL of titrant across the equivalence point.
  • 17

    When you lot are finished with your titration, stop the MicroLab information drove plan. Carefully remove the pH electrode from the solution, rinse it off and identify it in the pH 7 buffer.
  • 18

    View the graph generated by the MicroLab titration program to become familiar with the appearance of a typical titration bend. Echo steps 1–thirteen with a second sample of vinegar. Information technology is not necessary to condition glassware a 2nd fourth dimension.
  • xix

    When finished, drain the remaining NaOH from your buret into your 100 mL beaker. Discard all solutions in the sink with plenty of water.
  • 20

    Rinse all of your glassware with water, dry out it and return it to the prepare-up area where y'all constitute it. Close the MicroLab program.

Data Table A1: Experimental Information

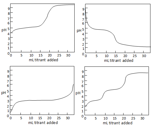
Question 1: The titration bend of a weak acid like acetic acrid with base has a distinctive advent when the volume of titrant is plotted on the x-axis and the pH is plotted on the y-axis. Select the picture that most closely resembles this graph.

Figure 4

Figure 4

Question 2: What is the color of the solution at below pH 8? What is the color of the solution in a higher place pH 8? Observe pH 8.00 on your titration graph. How shut is the amount of titrant at pH 8.00 to the Equivalence Indicate Buret Reading? Inside 0.l mL? Within i.00 mL?

Question 3: Calculate the number of millimoles of NaOH required to accomplish the endpoint for each of the three titrations. Show one adding completely. What is the average? Record the values in Data Table A2.

Question 4: How many millimoles of acetic acid are in each vinegar sample? Bear witness ane calculation completely. What is the average? Tape the values in Information Table A2.

Question 5: What is the mass of acerb acid in each vinegar sample? Prove one calculation completely. What is the average? Record the values in Data Table A2.

Question 6: What is the molarity of acetic acid in each vinegar sample? Bear witness one calculation completely. What is the average? Record the values in Data Table A2.

Question 7: What is the mass % of acetic acid in each vinegar sample? Show ane adding completely. What is the boilerplate? Record the values in Information Table A2.

Data Table A2: Calculated Results

Question eight: Do yous adopt monitoring a titration with a pH probe or an indicator? Explain your selection.

  • 21

    Earlier leaving, go to a figurer in the laboratory and enter your results in the In-Lab consignment. If all results are scored as correct, log out. If non all results are correct, try to observe the error or consult with your lab instructor. When all results are right, note them and log out of WebAssign. The In-Lab assignment must be completed by the end of the lab period. If additional time is required, please consult with your lab teacher.

colechindights.blogspot.com

Source: https://www.webassign.net/question_assets/ncsugenchem102labv1/lab_9/manual.html

0 Response to "what if 15.7 ml of titrant were required to reach the endpoint?"

Post a Comment

Iklan Atas Artikel

Iklan Tengah Artikel 1

Iklan Tengah Artikel 2

Iklan Bawah Artikel